Response Surface Methodology (RSM) is a statistical and mathematical technique. It is used to model and analyze problems where multiple variables influence the response of interest. RSM primarily helps optimize responses by identifying the ideal settings for the input variables.
The goal of RSM is to understand the relationship between one or more measured responses and independent variables. This understanding allows for determining the optimal combination of factors that leads to the desired outcome.
RSM plays an essential role in many fields, including engineering, pharmaceuticals, and manufacturing. In these fields, optimization is critical for efficiency and performance.
Table of contents
Purpose of Experimental Design
In any experiment, the ultimate aim is often to understand how different factors affect the outcome or response. This understanding helps predict the results under various conditions. It also leads to better decision-making. One way to achieve this is by comparing treatments. Treatments can be either qualitative or quantitative. Qualitative factors may involve different categories or types of treatments. Quantitative factors are numerical variables that can be adjusted, such as temperature, pressure, or concentration.
For experiments involving quantitative treatments, regression analysis helps understand how these treatments influence the response. If the treatment factors are combinations of multiple variables, a more complex model is required. This model represents the relationship between the inputs and the output. In such cases, a “response surface” helps visualize and model these relationships.
A response surface is a mathematical model or a graphical representation. It shows how the response variable changes as a function of the input variables. By studying these surfaces, experimenters can identify patterns, relationships, and optimum conditions for the response.
Definition of Response Surface Methodology (RSM)
RSM is a collection of statistical techniques that allow experimenters to optimize a process by exploring the relationship between input variables and the response variable. In simpler terms, RSM helps to find the best combination of factors that will yield the highest (or lowest, depending on the objective) output.
This method uses mathematical modeling and regression analysis to create a surface. This surface represents how the response changes based on variations in input factors. Since the exact relationship between inputs and outputs is rarely known beforehand, RSM helps approximate this relationship. It allows decision-makers to make informed choices about optimal operating conditions.
Basic Concepts of RSM
- Response Surface and Curves: In simple cases with only one treatment factor, the relationship between input and output can be represented by a response curve. In more complex situations involving multiple factors, a response surface is used. This surface allows experimenters to observe how the response changes with different combinations of input factors.
- Optimal Conditions: The goal of RSM is to find the optimal combination of factors that yields the best response. This could mean achieving the highest yield, the fastest processing time, or the lowest cost, depending on the specific problem. However, the exact relationship between input variables and the response is often unknown. Experimenters must approximate this relationship using experimental data.
- Sequential Nature: RSM is often a sequential process. Initially, a simple first-order model may be used to understand the response surface when the experiment is far from the optimal region. As the experimenter approaches the optimal area, they may use a more complex second-order model to pinpoint the optimum more accurately.
Goals of Response Surface Methodology
RSM serves two main objectives:
- Optimizing the Response: The primary goal of RSM is to find the optimal response by adjusting the design variables. Whether the response is maximizing yield, minimizing defects, or achieving a specific target, RSM helps find the best settings for the independent variables to reach that optimal outcome.
- Understanding the Response Behavior: The second goal of RSM is to understand how the response behaves in different directions when design variables are altered. This is particularly useful in determining the sensitivity of the response to changes in these variables, which can help in refining the process further.
To achieve these objectives, RSM typically involves the use of graphical representations such as response surface plots and contour plots, which help visualize the relationship between variables and their corresponding responses. These plots can be particularly helpful in identifying regions of improvement, understanding where to focus experimentation, and recognizing any nonlinear behaviour in the system.
Visualization of Response Surfaces
One of the key aspects of RSM is the ability to visualize the response surface. The response surface represents how the response changes with the levels of the independent variables. When the number of independent variables is small (typically two), the response surface can be visualized in three dimensions, where each axis corresponds to one of the variables, and the response (dependent variable) is plotted as a surface. This type of plot is called a response surface plot.
However, for more than two independent variables, the response surface cannot be easily visualized in three dimensions, as it exceeds the capabilities of conventional graphs.
In these cases, contour plots are used. Contour plots display contour lines, where each line represents a set of independent variable combinations that result in the same response value. These plots are particularly helpful in understanding the gradient of the response surface and in identifying areas where the response is optimal.
Need for Response Surface Models
While graphs are helpful for understanding the relationship between two variables, they become inadequate as the number of variables increases. This limitation is one of the reasons why response surface models (RSMs) are crucial. These models allow researchers to analyze complex systems where the response is influenced by multiple independent variables, which may interact with each other.
The use of RSM helps to create an empirical model that describes how the response changes with variations in input factors, even when these interactions are complex or unknown.
Types of Response Surface Models
There are different types of RSM models, each suited for specific types of problems. Some of the most commonly used models include:
- Standard Full Second-Order Polynomial Model: This is the most basic model in RSM. It is based on a modified quadratic equation where each output parameter is a quadratic function of the input variables. This model is used when the output variables change gradually in response to changes in the input variables.
- Kriging Model: The Kriging model is a more advanced model used in RSM, particularly when the response surface is more complex and nonlinear. It combines a polynomial model with a local deviation term that accounts for detailed variations in the design space. The Kriging model is highly flexible and provides a good fit for complex surfaces, although it can be prone to fluctuations in the response.
Mathematical Foundation of RSM
RSM works by approximating the true response function, which is typically unknown, as a polynomial equation. This approximation allows for a simplified analysis of the system. The general form of the response function is:

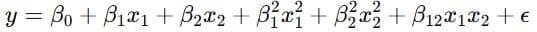
However, if the system exhibits curvature, a higher-degree polynomial (second-order model) is used. The second-order model includes quadratic terms and interaction terms to capture the nonlinearity in the response:

The higher the order of the polynomial, the more accurately it can model the response surface, but it also requires more experimental data to estimate the additional parameters.
Steps in Response Surface Methodology

- Defining Variables: The first step in applying RSM is identifying and defining the independent variables that affect the response. These factors can be controlled in the experiment. Carefully choosing their levels is essential to ensure meaningful results.
- Hypothesis Development: After defining the variables, you need to formulate a precise hypothesis. This hypothesis explains the expected relationship between the variables and the response. It also provides a basis for the experimental design.
- Designing the Experiment: Once the hypothesis is in place, you can design the experiment. This step involves determining the experimental setup. You will decide how to vary the independent variables, the range of values for each variable, and the number of experiments to conduct.
- Data Collection: Next, run the experiment and collect the data. Measure the response for different combinations of input variables.
- Model Fitting: After collecting the data, fit a statistical model to it. The model could be a first-order or second-order polynomial, depending on the system’s complexity.
- Optimization: The final step in RSM is optimizing the response. You achieve this by finding the combination of independent variables that yields the best outcome. Solve the model equations to identify the optimal levels of the independent variables.
Process of Using RSM

RSM follows a systematic and iterative process that helps experimenters approach the optimal response.
- Formulation of the Problem: The first step in RSM is to identify the factors (variables) that influence the response. These factors should be quantitative and continuous within a specific range. For example, consider kkk factors, such as temperature, pressure, and concentration, that affect the response.
- Design of Experiments: Based on the factors identified, a suitable experimental design is chosen. This design will help in collecting data for various combinations of the factors. Ideally, a design allows the experimenter to estimate the response with reasonable precision using a polynomial approximation.
- Modelling the Response Surface: The next step is to model the relationship between the input factors and the response variable. This is usually done by fitting a polynomial function to the observed data. The polynomial can be of first or second order, depending on the complexity of the response surface. For example, a first-order model assumes a linear relationship between the response and the factors, while a second-order model includes quadratic terms to account for curvature.
- Optimization: Once the experimenter models the response surface, they can use it to find the optimal conditions. They identify the region where the response maximizes (or minimizes, depending on the goal). The optimal solution may be a point on the surface that corresponds to the best combination of input factors.
- Refinement: If the optimum is not within the experimental region, the experimenter may choose a new experimental region and repeat the process. This iterative approach ensures that the optimum is located as accurately as possible.
Errors in RSM
RSM, like any experimental method, is subject to errors. These errors can arise from:
- Sampling and Experimental Error: These errors occur when the data collected is inaccurate due to random fluctuations, measurement errors, or imperfect experimental conditions. To minimize these errors, the experimenter ensures that the design allows for accurate estimation of the model coefficients.
- Modeling Errors: If the chosen polynomial model does not adequately capture the true relationship between the factors and the response, it introduces errors. For example, Using a first-order model when a second-order model is needed leads to an incomplete representation of the response surface.
Key Requirements for RSM Designs

For a successful RSM, the following requirements should be met:
- Precision in Estimation: The design should allow for the estimation of the response surface with reasonable precision. This ensures that the polynomial fits the data well and provides an accurate representation of the underlying process.
- Model Validation: There should be provisions to check whether the chosen model provides a satisfactory fit to the data. If the model is not appropriate, the experimenter can try a different polynomial or make adjustments to the experimental design.
- Efficient Experimental Design: The design should not involve an excessive number of experimental points, as this would be inefficient and costly. A well-chosen design can yield accurate results with fewer runs.
- Flexibility: The design should be flexible enough to allow modifications if the chosen polynomial degree is found to be inadequate. The experimenter may need to fit a higher-degree polynomial if the data indicates more complexity in the response surface.
Applications of Response Surface Methodology
RSM is widely used in various industries to optimize processes. Some common applications include:
- Manufacturing: In manufacturing, RSM optimizes production processes by adjusting machine settings, improving quality control, and minimizing defects.
- Pharmaceuticals: In the pharmaceutical industry, RSM optimizes drug formulations, improves production efficiency, and ensures that the final product meets required specifications.
- Chemistry and Engineering: RSM optimizes chemical reactions, improves yields, and controls environmental factors in the chemistry and engineering sectors.
- Food Industry: In the food industry, RSM optimizes food processing techniques by determining the ideal combination of ingredients and cooking conditions to achieve the desired flavour, texture, and nutritional content.
Final Read
Response Surface Methodology is a powerful tool for optimizing processes in various fields by modelling the relationship between independent variables and responses. By using polynomial equations and statistical techniques, RSM helps identify the optimal settings for variables that maximize or minimize a desired outcome.
The use of graphical tools such as response surface plots and contour plots aids in understanding the shape of the response surface and in determining the best conditions for achieving optimal results. As a flexible and robust methodology, RSM continues to be an essential technique in process optimization and experimental design.

