A correlation coefficient is a statistical measure that quantifies the degree of correlation between two variables. It provides insights into the strength and direction of the relationship between variables.
In many practical scenarios, we encounter data on two or more variables. For instance, we may study the heights and weights of individuals in a group, analyze sales revenue in relation to advertising expenditures, or explore the connection between time spent studying and marks obtained in exams. These examples highlight the relationship between variables and how they influence each other. When data for two variables, such as X and Y are available, this is called a bivariate distribution.
Understanding these relationships helps answer fundamental questions, such as whether changes in one variable affect another. For example:
- Does sales revenue increase or decrease with changes in advertising expenditure?
- Do higher marks result from more time spent studying?
Correlation, a statistical concept explaining the relationship between two variables, addresses these queries.
Table of contents
What is Correlation?
Correlation measures how strongly two variables relate. If one variable changes, consistently affecting the other, then the variables correlate. For instance:
- A positive correlation indicates that as one variable increases, the other also increases.
- A negative correlation means that as one variable increases, the other decreases.
This statistical relationship forms the foundation for understanding trends and making predictions based on observed data.
Correlation Coefficient
The correlation coefficient quantifies the degree of relationship between two variables. It indicates how closely the changes in one variable predict changes in another. However, correlation does not imply causation. A high correlation between two variables does not mean that one causes the other to change.
The correlation coefficient is used to understand how one variable changes with respect to another. r represents this value, and its value ranges from -1 to +1.
The correlation coefficient’s value lies in the range of -1 to +1:
- A value of +1 represents a perfect positive linear relationship.
- A value of -1 signifies a perfect negative linear relationship.
- A value close to 0 indicates little to no linear relationship.
Interpretation
The Sign of r:
- Positive Sign: Indicates a positive correlation where both variables increase together.
- Negative Sign: Indicates a negative correlation where one variable increases while the other decreases.
The Magnitude of r:
- |r| < 0.3: Weak correlation.
- 0.3 ≤ |r| < 0.7: Moderate correlation.
- |r| ≥ 0.7: Strong correlation.
Types
Three common methods for calculating the correlation coefficient are:
- Pearson Correlation
- Kendall Rank Correlation
- Spearman Rank Correlation
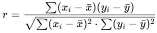
1. Pearson Correlation Coefficient
The Pearson correlation coefficient, denoted as r, measures the strength of a linear relationship between two variables. This method assumes that the data is continuous and normally distributed. Stock market analysts widely use this method to analyze the relationship between the prices of two commodities.
Formula:

- Xi and Yi are the individual sample points.
- X̄ and Ȳ are the means of the X and Y variables, respectively.
- Σ denotes the sum of all sample points.
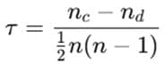
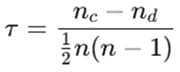
2. Kendall Rank Correlation Coefficient
Kendall’s Tau (τ) measures the strength of dependence between two variables, focusing on the order or ranks of the data. This non-parametric test does not assume any particular distribution of the data.
Formula:

Where:
- nc is the number of concordant pairs.
- nd is the number of discordant pairs.
- n is the total number of pairs.
3. Spearman Rank Correlation Coefficient
Spearman’s Rank Correlation (ρ) assesses the strength and direction of a monotonic relationship between two variables. Like Kendall’s Tau, it does not require the data to follow a normal distribution and works well with ordinal or ranked data.
Formula:

Where:
- d is the difference between the ranks of corresponding variables.
- n is the number of observations.
Interpreting the Correlation Coefficient
The value of the correlation coefficient helps in understanding the relationship between variables:
- +1: Perfect positive correlation; as one variable increases, the other increases proportionally.
- -1: Perfect negative correlation; as one variable increases, the other decreases proportionally.
- 0: No linear correlation; the variables do not have a linear relationship.
You can categorize the strength of the correlation as:
- 0.0 to 0.2: Very weak to negligible correlation.
- 0.2 to 0.4: Weak correlation.
- 0.4 to 0.6: Moderate correlation.
- 0.6 to 0.8: Strong correlation.
- 0.8 to 1.0: Very strong correlation.
Applications of Correlation Coefficients
Researchers widely use correlation coefficients in various fields to determine relationships between variables.
- Finance: To assess the relationship between different financial instruments, such as stocks or bonds, which aids in portfolio diversification.
- Medicine: To explore the association between variables like dosage and recovery rate, or risk factors and the likelihood of developing a disease.
- Psychology: To examine the relationship between variables such as stress levels and performance, or therapy duration and improvement rates.
- Education: To investigate the correlation between study time and exam scores, or attendance and academic performance.
Limitations of Correlation Coefficients
While correlation coefficients are useful, they have certain limitations:
- Causation: Correlation does not imply causation. A high correlation between two variables doesn’t mean that one causes the other.
- Linearity: Pearson’s correlation measures only linear relationships. Non-linear relationships may not be represented accurately .
- Outliers: Extreme values can significantly affect the correlation coefficient, potentially leading to misleading interpretations.
- Range Restriction: A limited range of data can underestimate the true correlation between variables.
Final Words
The correlation coefficient is a vital statistical tool for understanding relationships between variables. Whether using Pearson’s method for quantitative data or Spearman’s method for ranked data, correlation analysis provides insights into trends and dependencies. While it has limitations, its applications are vast and essential in data-driven decision-making. By understanding the strength and direction of relationships, we can better analyze patterns and predict outcomes in various fields.

